Toggle navigation
首页
问答
文章
话题
专家
创新头条
专区
科创专区2
文创专区
更多专区...
返回主站
提问
会员
中心
登录
注册
全部
新材料
项目投资
院士风采
科技文章
最新
热门
付费
发布文章
3
点赞
2000年获诺贝尔化学奖 - 艾伦·黑格
诺奖
院士
OPV
中加创新中心
2025-03-08
艾伦·黑格是半导体聚合物和金属聚合物研究领域的先锋
0
点赞
IGBT的四大散热技术发展趋势
散热
热管理
VidoCanada
1小时前
0
点赞
荣耀超薄折叠手机Magic V2搭载了翅脉仿生结构 0.22mm VC 气液循环散热 均热板2023
均热板
散热
热管理
VidoCanada
1小时前
0
点赞
联想发布的 全球首款16英寸液冷游戏本 -2023
均热板
散热
热管理
VidoCanada
1小时前
0
点赞
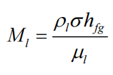
在不同工作条件下同时选择吸液芯和工作液以设计最小热阻均热板
均热板
散热
热管理
VidoCanada
2小时前
0
点赞
CTP无模组动力电池包及冷却系统设计,满足大功率大电流要求
散热
热管理
VidoCanada
4小时前
CTP无模组动力电池包及冷却系统设计,满足大功率大电流要求
1
点赞
GPU散热革命:NVIDIA微通道液冷板(MLCP)技术深度解析
均热板
散热
热管理
VidoCanada
2025-11-30
0
点赞
数据中心液冷散热技术的核心内容:技术路线、核心创新、实践验证、行业协同
均热板
热管理
机房
VidoCanada
2025-11-16
0
点赞
竹笋启发的超高效太阳能蒸发器:突破高盐度海水淡化瓶颈
散热
海水淡化
VidoCanada
2025-11-10
5
点赞
1
巴西金矿 出售 (登录后 下载资料)
金矿
中加创新中心
2025-11-07
巴西金矿 出售 (登录后 可见下载资料 链接)
1
点赞
科普:全方位解析均热板-禾聚精密
VC
均热板
热管理
VidoCanada
2025-11-06
1
点赞
2025全球VC均热板竞争格局与核心供应链分析
VC
均热板
热管理
VidoCanada
2025-11-05
VC均热板通过真空密封腔体内的液体-蒸气相变实现二维平面传热。
0
点赞
苹果iPhone17 Pro Max VC均热板中国造!散热带火这两家小市值公司
VC
均热板
热管理
VidoCanada
2025-11-05
iPhone 17 Pro Max搭载的0.27毫米VC均热板,由瑞声科技与恒铭达联合研发,将芯片温度降低8-12℃,中国供应链企业以黑科技重塑全球手机散热市场格局,市占率从35%跃升至62%。
0
点赞
碳捕集与封存技术前沿,给“碳捕手”装上绿色引擎
碳捕集
CCUS
LingTan
2025-11-05
0
点赞
研究团队研发新型光照癌症疗法,30 分钟杀死 92% 皮肤癌细胞
光谱
中加创新中心
2025-10-23
研究人员定制的近红外LED加热系统激活SnOx纳米薄片,后者能够加热并消灭癌细胞(绿色:活细胞;红色:被光热疗法杀死的细胞)。图片来源:德克萨斯大学奥斯汀分校
0
点赞
清华大学 推出全球首款亚埃米级快照光谱成像芯片“玉衡”
芯片
图像
中加创新中心
2025-10-18
0
点赞
VC均热板相变传热仿真分析
新材料
热管理
均热板
VidoCanada
2025-10-17
0
点赞
电动汽车电池热管理系统进展与挑战:综述与未来展望
新材料
汽车
热管理
VidoCanada
2025-10-17
本文系统梳理了当前 BTMS 技术现状,重点分析被动式、主动式与混合式三类热管理策略
1
点赞
瑞典皇家理工学院成功研发出透明木材!强度超玻璃
新材料
木材
建筑
中加创新中心
2025-10-17
瑞典皇家理工学院研发出一种木质材料,该材料不仅光学透明,强度甚至超过玻璃,为窗户、太阳能电池板和节能建筑开辟了新的可能性
1
点赞
比钢强10倍、轻6倍!美国超级木材量产,家居市场或洗牌
新材料
木材
建筑
中加创新中心
2025-10-17
一家美国公司已开始量产一种超级木材,据称其强度重量比可达钢的10 倍,重量却只有钢的6分之一
1
点赞
刚得诺奖的成果被做成芯片了:30年前曾被评委嫌弃称“无用”的材料
新材料
MOF
有机
中加创新中心
2025-10-16
加载更多
热门文章
→ more
1
探索未来能源的无限可能-有机光伏OPV篇
2
2000年获诺贝尔化学奖 - 艾伦·黑格
3
12个破除限制AI网站
4
钙钛矿材料与有机光伏材料分析对比
5
天使轮 投资 尽调清单
6
2025海外高层次人才回国政策攻略
7
OPV 有机光伏太阳能电池可承受恶劣的太空环境
8
中国民航大学通航首席科学家马昕院士
9
什么 是 有机光伏 OPV
10
HOLA江阴,HOLA胡子小镇!
等待解答
Q
加拿大手机 优惠套餐 -可选手机
Q
告别充电枪!电动车无线充电时代来临 你愿意为无线充电功能多付1万元车价吗?
Q
2025年两院院士增选结果揭晓
Q
三观不同 ,三观到底是什么?
Q
德国公司 核聚变技术在太空探索领域的应用,还可能带来哪些意想不到的变革?
Q
DeepSeek爆红后 深圳成立了100亿人工智能机器人产业基金还能赶上吗?
Q
招聘启事:跨国医药公司项目主管
Q
近几年 这么多专家 意外车祸 都是巧合?
Q
世界各地发布了这么多新型电池 , 固态电池到底什么时候能够量产?
Q
加拿大绿建样板屋 寻供应商,适合出口的请联系
热门问题
1
特朗普终止与中国的永久性正常贸易关系,影响有多大?
2
英國 冷核聚变 逆天突破?只用水和催化劑,就能無限期永久發電?
3
冷核聚变 产业化还有多远?与“人造太阳”高温核聚变相比 哪一个率先产业化?
4
1公斤氢气可发多少度电? --氢电转化、能耗基本数据 计算
5
俄罗斯工程院 库斯塔列夫副院长访华, 需要对接项目 请留言!
6
2025年至今,为什么 RTX4090 市场这么火爆,并价格一路狂涨?
7
巴西Cidade do Futuro新城需要绿色建材,适合出口的请联系
8
什么 是单壁碳纳米管 ?有啥作用?
9
怎么一夜之间小红书上出现那么多外国友人? 这些是AI生成的吗?
10
世界各地发布了这么多新型电池 , 固态电池到底什么时候能够量产?
热门标签
零碳
光伏
美国
特朗普
AI
氢能
新能源
核聚变
加拿大
贸易战
院士
中美对抗
土地财政
固态电池
未来能源
俄罗斯
DeepSeek
基金
VC
新质生产力
诺奖
关税
甲醇
国际市场
数字货币
TikTok
绿建
出口
储能
中国
OPV
薄膜光伏
乌克兰
太阳能
钙钛矿
投资
FA
制氢
融资
手机
卫星
小米
LNG
诺贝尔
液氨
比特币
大跃进
太空
留学
移民
推荐专家
Sam博士生物科技
0个答案 0次被采纳
James Jee
0个答案 0次被采纳
潘力刚 博士
6个答案 1次被采纳
BCCB invest
3个答案 0次被采纳
陈宏铭院士.海天智能物联
0个答案 0次被采纳
发布
问题
回到
顶部