制氢和储能的换算关系与技术工艺和应用场景有关,下面是一些常见的情况:
电解水制氢:考虑水的纯化脱盐等过程,目前所有电解水制氢工艺制取一公斤氢气总耗电量在50-55kwh(度),1度电对应3600KJ,50-55KWh换算成能量单位也即180000Kj-198000Kj。1公斤氢气热值(所含能量值)为143000Kj,这个过程能量转化效率计算为:能量转移效率为143000/(180000-198000)72%-79%。氢气发电:目前氢燃料电池发电效率在40-60%,其余部分主要表现为热能在实际应用中,制氢和储能的换算关系还需考虑设备的能量转化效率、储能介质等因素。
来源: 氢能网h2city.cn
一、关于电解水制氢数据
电解水制氢一标方氢气需要3~5度电左右(详见下表)。11.2标方氢气为1公斤,电解水制氢1公斤耗电约35~55度左右,所以水解制氢成本取决于电价。以下图表为常见电解水方式的耗电以及优缺点对比图表:
二、关于氢气发电数据
1公斤氢气的热值约当于33KW h(度)电,氢燃料电池电堆发电效率一般在40%~60%区间工作。一般按照50%效率计算,1公斤氢气可发电发电在16度左右。该数值取决于燃料电池功率输出的效率点。下图是一款产品的效率曲线示意。
说明:这里的效率仅指发电效率,不含热效率;这个效率值会随着科技的发展会有提升,比如日本丰田NEDO路线图中到2040年的最高效率目标是78%;随着输出功率变化效率也是一个动态变化过程,我们看均值更有意义;由于电堆集成系统后有空压机等辅助系统的寄生功率,所以实际对外做功效率会更低。
三、关于氢气高压气态运输数据
1公斤氢气从常压升到20MPa(200个大气压)需要大约2度电。目前常用的长管车(鱼雷车)运氢方式基本是这个压力,为了降低运输成本正在研发提升长管车压力。另每个长管鱼雷车一般由6~8个高压钢瓶组成,每车拉约260~460公斤的氢气。该种运输方式在200~300公里以内(150公里最经济)相对有经济性,也是目前最常用的运氢方式。卸气一般需要2~6小时。
说明:目前正在从政策和技术层面提升气态运氢能力,预计运氢储罐压力提升到45~50MPa,这样一车预计可以运输1000~1500公斤。会让高压气态运输更有经济性。
四、关于氢气的摩尔体积数据
一公斤氢气约为11.2标方(标况下的11.2个立方米体积)。
五、关于液氢的数据
氢气需要在21K(零下253摄氏度)时才能液化,现状液化1公斤氢气需要11~15度电左右。随着技术改进,有机会做到5~8度电,(这个过程是高难度的,高技术含量的)。
液氢的密度71g/L。现状常用液氢槽罐车容积大约65立方米,一次可以运输液氢约4000Kg.
1kg of Hydrogen is the equivalent of:
– 4 litres of gasoline
– 14 litres of volume when liquefied at -253 ℃
– 120 MJ of energy, almost three times more than diesel or gasoline
– 33.6 kWh of usable energy, versus diesel which only holds about 12–14 kWh per kg.
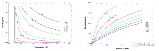
六、关于车载储氢瓶内氢气密度的数据
车载储氢瓶70MPa(700个大气压)下每升含重量只有约39克。中国目前采用的是35MPa(350个大气压),每升重量约20~22g左右(也和温度相关)。深冷液化需要到零下253℃,每1升液氢重量为含71克,即1立方液氢约70公斤多(83公斤是纯理论值)。
氢气在不同压力和温度下的密度曲线图(可查表)
说明:所以35MPa下140L的车载储氢瓶储氢量约3公斤左右;目前常见的35MPa车载储氢瓶有:100L、120L、140L、145L、210L、165L、260L、385L等常见规格。
七、关于有机物储氢的数据
现状有机液体储氢技术可以实现在常温常压下每1升含氢近60克,所以它的储氢量是非常高的,但是释放氢气出来需要加热到200度左右,也是个高耗能的过程。
八、关于续航里程的数据
1公斤氢气,可以约发16度电,10.5米多的大巴跑一公里,大约需要0.6-0.9度电,大巴车100公里耗氢约4~5.5公斤左右;乘用车百公里耗氢约0.5~0.8公斤,日本丰田Mirai储氢5.6公斤,最大续航里程1030公里;系统功率130KW,40吨左右的重卡百公里耗氢约10~13公斤(概数)。
九、关于加氢站的数据
加氢站主要设备压缩机、加氢机都有能耗。在高压储罐和车载系统均压后,仍需要压缩机给高压储罐增压故有能耗,加氢机也有需要预冷散热等能耗。统计到加氢机每加1公斤耗电量约在0.8度以内。(数据来自于上海、武汉、安徽三地加氢站数据,如有错误请指正)
另,国内加氢站氢气售价是35~80元/公斤区间。