本篇整理自普渡大学的研究论文——Simultaneous Wick and Fluid Selection for the Design of Minimized-Thermal-Resistance Vapor Chambers under Different Operating Conditions(在不同工作条件下同时选择吸液芯和流体以设计最小热阻均热板),供交流参考!
均热板简介
均热板(vapor chamber,VC)广泛应用于电子设备的热管理。均热板是一种基于相变的被动传热装置,能以相对较小的热阻传输或扩散热量。均热板内部的吸液芯毛细结构产生毛细管压力,从而驱动工作液体的流动回路。均热板的蒸发器不断的吸入工作液,吸收热源热量后液体蒸发,由此形成的蒸汽在冷凝器区域冷凝并释放热量,从而起到散热作用。
图1:均热板示意图
研究目的
吸液芯和工作液是均热板设计的两个关键要素。当前普遍认为,基于液体品质因数Ml的工作液选择适用于具有较厚外形尺寸的均热板,其性能目标是最大化热负荷;当性能目标是最小化蒸汽热阻时,薄型均热板的工作液选择建议基于蒸汽品质因数Mv 。
基于液体品质因数 Ml 的工作液选择
工作流体对均热板的性能起着重要作用,选择液体的常用指标是基于影响均热板毛细极限的液体品质因数Ml :
Ml 的值决定了均热板携带热量的最大能力,即克服吸液芯中的粘性流动阻力的毛细管压力,也称为毛细管极限;对于给定的吸液芯结构,Ml 的值越高,均热板的毛细管极限就越高。从 Ml 的表达式中可以看出,汽化潜热和密度较高的液体在单位体积内会传输更多的热量,而较低的液体粘度有利于降低吸液芯中的压降,较高的表面张力会增加毛细管压力。基于 Ml 的液体选择适用于具有较厚外形尺寸的均热板,在这种情况下,蒸汽(vapor core)中的压降可以忽略不计,且性能目标是最大化热负荷。
基于蒸汽品质因数 Mv 的工作液选择
Yadavalli 等人使用热阻网络模型来评估薄形状因素下均热板的有效热阻。此时,均热板的有效热阻由均热板中的高压降(以及由此产生的高饱和温差)决定。因此,当性能目标是最小化蒸汽热阻时,薄型均热板的工作液选择建议基于蒸汽品质因数 Mv,如下所示:
表达式包含了影响蒸汽热阻的蒸气特性。在一定厚度下,Mv 值越高,蒸汽热阻越低。
论文指出,均热板工作液与吸液芯的选择相互关联,需要综合考虑均热板的外形尺寸与热负荷性能目标,但还没有人尝试过开发一种整体方法来选择工作液和吸液芯。
因此,普渡大学的研究团队在本研究中根据不同操作条件下的工作液和吸液芯选择来评估控制吸液特性对均热板设计的影响。使用基于热阻网络的建模方法,开发了均热板总热阻的封闭式解析表达式(a closed-form analytical expression),该表达式考虑了吸液芯和工作液的所有相关特性。然后使用该模型来研究各种吸液芯特性对操作条件下均热板热性能的影响,在此基础上提出并演示了一种同时选择工作液和吸液芯的方法。
模型的建立
本研究的模型——圆盘形均热板的蒸发器中心有一个半径为 re 的圆形热源,吸液芯和蒸汽区域的径向尺寸相同,也等同于整个冷凝器面积,半径用 rc 表示。均热板冷凝器和蒸发器都附有吸液芯(wick),并假定二者的厚度相等,吸液芯厚度为 twick ,蒸汽核心厚度为tvap 。由于分析中不包括壁厚,总工作厚度定义为 t=2twick+tvap 。
为了模拟均热板中的热传导,考虑了一维热阻网络,均热板的每个组件都被模拟为有效热阻。这种简化的建模方法已在各种研究中被证明是有效的。
假设在均热板吸液芯中存在一维不可压缩径向流,其压降和速度根据多孔介质中的流体流动达西定律(Darcy’s law)而变化。
吸液芯厚度和总热阻
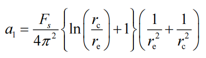
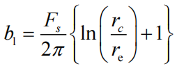
本研究中,为了计算蒸发器和冷凝器吸液芯的总热阻,假设两个吸液芯区域存在均匀的一维轴向热传导。总热阻可表示为:
表达式中:

kwick 表示吸液芯的热导率(W/m k);Q 表示热负荷(W);reff 表示吸液芯的有效孔隙半径(m);K 表示吸液芯渗透率(m2);Ml 表示液体品质因数 ;Fs 表示安全因子 。
(吸液芯总热阻表达式的详细建立过程,请查阅原论文)
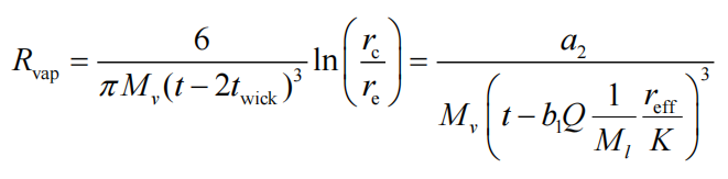
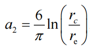
蒸汽热阻
本研究中,通过建立压力梯度与温度梯度之间的关系,并将其纳入蒸汽热阻的计算模型中,来确定蒸汽热阻的表达式:
表达式中:

(吸液芯总热阻表达式的详细建立过程,请查阅原论文)
总热阻
均热板的总热阻是吸液芯和蒸汽的有效热阻之和:
表达式中:a1,a2,b1由上述表达式定义。
吸液芯阻力对工作液选择的影响
从上述均热板的总热阻方程可以看出,除了依赖于各种吸液芯、几何和操作参数之外,总热阻也是流体特性的函数,综合为液体 (Ml) 和蒸汽 (Mv) 品质因数 。因此,对于给定的操作条件(工作厚度为t和热负荷为Q),可以从一组给定的流体中选择能提供最小热阻的工作液。因此,液体选择可以映射在 t-Q 图上,其中图上的每个点代表具有最小化总热阻特性的工作液。
本研究中的均热板的热输入区域半径为 re= 5 mm,冷凝器表面半径为 rc = 45 mm。均热板的工作温度为 Tv =325 K,所有工作液的热物理特性均在此温度下评估。吸液芯渗透率 K = 2.63 × 10-10 m2,孔隙率 φ = 0.5,有效孔隙半径reff = 1.42 × 10-4 m,导热系数kwick = 17.9 W/m K。
考虑了控制均热板热阻的液体和蒸汽品质因数的极端范围的三种工作液:Mv 最高的戊烷(pentane)、Ml 最高的水(water)和居中的丙酮(acetone)。
表1:本研究中考虑的工作液的液体和蒸汽品质因数 (T = 325 K)。
图2:在一系列 t-Q 操作条件下提供最小阻力的工作液选择
图 2 (a) 显示了在忽略吸液芯热阻时 50 µm至100 µm(薄型尺寸)工作厚度范围内的工作液选择。如果均热板的 Q= 6 W 且可用工作厚度为 60 µm,则从 t-Q 图可以看出,水将提供最小的热阻 。另一方面,对于相同的工作厚度,如果 Q 降低至 2 W,则丙酮将是优选的工作液。
图 2 (c) 显示了相同工作厚度(50 µm至100 µm)范围内的工作液选择,但包括了吸液芯热阻。
图 2 (b) 和 (d) 中所示的 t-Q 图,则揭示了较厚形状系数(工作厚度为100 µm至500 µm)对工作液选择的显著影响。
图 2 (b) 显示了忽略吸液芯热阻时,在所有工作厚度下,工作液的选择遵循与图 2 (a) 和 (c) 中相同的趋势:在低热负荷下优选使用高 Mv 的液体,而在高热负荷下,则选择具有高 Ml 的液体。
图 2 (d) 中考虑了吸液芯热阻,随着工作厚度的增加,工作液的选择开始强烈倾向于高 Ml,因此在足够大的厚度下,高 Mv 的工作液永远不是首选 。
吸液芯参数在决定均热板整体热阻方面的重要性
上述案例研究表明,吸液芯热阻在厚外形尺寸下具有显著影响,在设计均热板以最小化热阻时必须考虑到这一点。因此,探索吸液芯参数对吸液芯和蒸汽热阻的影响非常重要,以便为选择最小化热阻的吸液芯提供依据。
上面的表达式表明,所需的吸液芯厚度与有效孔隙半径和吸芯渗透率之比(reff/K )成线性比例。 因此,有效孔隙半径的增加或毛细渗透率的降低间接导致毛细热阻的增加。吸液芯热阻 kwick 也会随着吸液芯热导率的降低而增加。此外,reff/K 的任何变化都会伴随蒸汽厚度的变化,从而导致蒸汽热阻的变化。因此,吸液芯参数 reff/ K和 kwick 影响均热板的热阻,类似于充当控制均热板热阻的液体和蒸汽品质因数。为了评估上述参数在操作条件 (t-Q)下发挥的作用,有必要对其进行灵敏度分析。
本研究中将均热板总热阻对 reff/K 和 kwick 的归一化灵敏度定义为:
并将其表示为一张t-Q图的等值线图,归一化灵敏度值越高,表示对应的吸液芯参数在t-Q图上对总热阻有更大的影响。因此,归一化灵敏度在评估不同吸液芯参数对均热板中热阻的影响程度时,提供了重要的指导。这些信息可以帮助工程师在设计均热板时,同时考虑不同工作厚度和热负荷条件下吸液芯参数的选择。通过优化参数选择,可以实现均热板的更高热性能。
图3:均热板总热阻对 (a) 毛细热导率 (kwick) 和 (b) 有效孔隙半径和毛细渗透率之比 (reff /K) 的归一化灵敏度的等高线图,显示为工作厚度 t 和热输入 Q 的函数(即 t-Q 图)。
图3(a)显示,对于 Q = 8 W,两个不同工作厚度 t = 200 µm 和 t = 450 µm,在 t = 200 µm 时热阻相对于 kwick 的归一化灵敏度值为 20 ,而 t = 450 µm 时的该值为 40 相比。这意味着在较厚的形状因数下,热阻对吸液芯热导率更敏感。
图 3(b)显示,薄型均热板设计中总热阻对 reff/K 非常敏感。对于给定的热负荷,随着工作厚度的增加,蒸汽热阻降低和吸液芯热阻增加的相对贡献(两者均受reff/K的影响)导致均热板中热阻的非单调敏感性。
为在各种工作条件下最小化热阻而选择吸液芯
上述研究发现,吸液芯参数不仅影响吸液芯热阻,而且对蒸汽热阻也有显著的间接影响,从而影响所有操作条件下的均热板总热阻。
下面演示了在一系列操作条件下最小化均热板热阻的吸液芯选择。在案例研究中,选择了具有不同孔隙率(0.65-0.75)和颗粒直径(2.0×10-5 m 至 4.8×10-5 m)的三种烧结铜粉吸液芯。
表2:三种烧结铜粉吸液芯的孔隙率、粒径和特性
图4:均热板的吸液芯选择图作为工作厚度 t 和热输入 Q 的函数,以丙酮作为工作流体,以实现最小化热阻(即 t-Q 图)。吸液芯特性如表 2 所示。
从图 4 中可以看出,在 t = 400 µm 且 Q = 2 W 时,Wick 1 提供最小热阻。然而,尽管 Wick 1 提供了最小的毛细热阻,但 Wick 3 仍是薄型均热板的最佳选择。在薄型尺寸下,蒸汽热阻决定了对吸液芯的选择,Wick 3 在三种可用吸液芯中具有最低的reff/K,因此,Wick 3 将为较低工作厚度范围内的均热板提供最小的总热阻。
同时选择吸液芯和工作液
到目前为止,上述研究案例证明了基于最小化整体热阻作为独立选择工作液和吸液芯的方法。 然而,均热板的总热阻本质上与吸液芯以及工作液相关联。吸液芯和工作液的选择不能独立进行,而必须考虑均热板在所需操作条件下两者所有特性的耦合。
本节研究演示为最低热阻设计均热板同时选择吸液芯和工作液,三种工作液的特性以及均热板的几何参数、工作温度与上述章节相同。
对于给定的 t-Q 工作条件,开发了一种模型用于识别提供最低均热板热阻的工作液和吸液芯组合,然后将其映射到一系列工作厚度 (t = 50-500 µm) 和热负荷 (Q = 0.5-12 W) 的 t-Q 图 。
图5:均热板的工作液和吸液芯同时选择图,作为工作厚度 t 和热输入 Q 的函数,以实现最小化热阻(即 t-Q 图)。工作液和吸液芯特性分别在表 1 和表 2 中给出。
图 5 显示了已识别的工作液和吸液芯组合的 t-Q 图。图中,提供了一个相对简单的决策矩阵,仅包含在单一温度下的有限操作窗口内的三种工作液和吸液芯。然而,这种同时选择工作液和吸液芯的通用方法可以简单地扩展,以考虑无数可能的候选吸液芯和工作液,以及操作范围和温度。 通用方法使工程师能够从实际应用中出现的所有可能组合中选择最佳的工作液-吸液芯组合,而不是基于直觉或任何单一的液体/吸液芯品质因数做出决定。
结论
该研究的主要结论是:
与蒸汽热阻相比,在相对较厚的外形尺寸和高热负荷下,吸液芯热阻在确定均热板的总热阻方面起着重要作用。
在较大的工作厚度下,吸液芯参数组(reff/K *1/kwick)决定吸液芯热阻,从而随着热负荷的增加显著影响均热板的热阻。
在工作厚度较小且热负荷增加的情况下,在选择吸液芯时,吸液芯热导率并不是一个关键因素。 相反,吸液芯的选择应仅基于reff/K,这会影响蒸汽热阻。
为了获得最佳热性能的均热板,工作液和吸液芯应同时选择; 总热阻与工作液和吸液芯特性高度耦合,并且不同操作条件下的最佳组合无法映射到任何单个参数组。
来源:转载自热管理行业观察
平台声明:该文观点仅代表作者本人,001can.com 信息发布平台 仅提供信息存储空间服务。